The detailed procedure to perform a local experiment is explained in Chapter
. A summary of the same is provided in section
It is same for this section with following changes.
- Step1: The working directory is pid_controller
- Step2: Same
- Step3: Same
- Step4: Same
- Step5: Load ramp test function by executing command
exec<space>pid_bda.sci
- Step6: Load Xcos code for ramp test using the command
exec<space>pid_bda.xcos
- Step7: Same
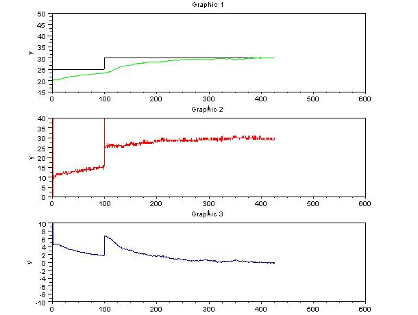
The output of Xcos is shown in figure 5.10.
Figure shows three plots. First sub plot shows setpoint and output temperature profile. Second sub plot shows
control effort and third sub plot shows error between setpoint and plant output.
Figure 5.10:
PID controller (Backward Difference Approximation) output
|
 |
rokade
2017-04-23