The detailed procedure to perform a virtual experiment is explained in Chapter
. A summary of the same is provided in section 1.1. It is same for this section with following changes.
- Step1: The working directory is pid_controller. Open this directory.
- Step2: Same
- Step3: Same
- Step4: Switch to the PID controller experiment directory and double-click on the file pi_ta_virtual.sce. This will launch scilab and also open the file pi_ta_virtual.sce in the scilab editor. Linux users will have to launch scilab manually. They also have to change the working directory to pid_controller and then open the pi_ta_virtual.sce file in the scilab editor.
- Step5: Same
- Step6: Execute the file pi_ta_virtual.sce. Expect the PI controller xcos diagram to open automatically. If this doesnt happen, check the scilab console for error message.
- Step7: Execute the PI controller xcos diagram.
- Step8: Same
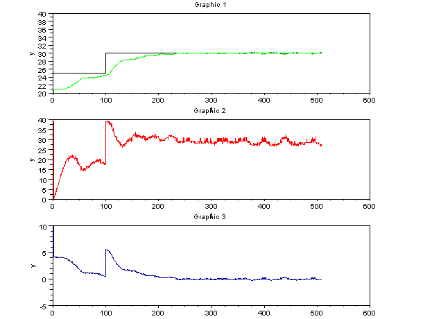
Figure 5.6:
PI controller (Trapezoidal Approximation) output
|
 |
rokade
2017-04-23