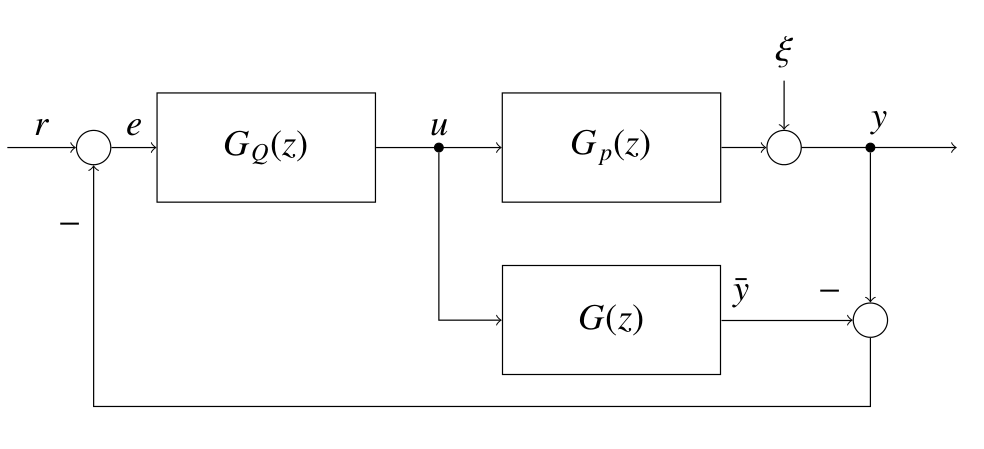
Internal Model Controller contains explicit model of plant [1].
The closed loop system can be stabilized with the use of a stable open loop transfer function and a stable controller.
The IMC is mainly used for stable plants.
Figure 8.2:
IMC feedback configuration
|
 |
Let the transfer function of the stable plant be denoted by
and its model is denoted by
. Hence
 |
(8.1) |
where:
y(n) = plant output
u(n) = plant input
(n) = noise
For noise rejection with y=0, we require
and
, i.e., for stable
we require
an approximate inverse of G. Also, for internal stability, transfer function between any two points
in the feedback loop must be stable [1].
Figure 8.3:
Feedback configuration
|
 |
rokade
2017-04-23