Steps for Designing IMC for Stable Plant

IMC design refers to obtaining a realizable $ G_Q$ that is stable and approximately inverse of G. This can be achieved by inverting the delay free plant model so that $ G_Q$ is realizable. For non-minimum phase part of the plant, reciprocal polynomial is used for stable controller. Negative real part of the plant should be replaced with the steady state equivalent of that part to avoid oscillatory nature of control effort. Low pass filter must be used to avoid the high frequency components because of the model mismatch. The SBHS is modeled as-

$\displaystyle G$ $\displaystyle =Z^{-1} \frac{0.01163}{1-0.9723Z^{-1}}$ (8.2)

Inverting delay free plant, we get


$\displaystyle \frac{A}{B}$ $\displaystyle =\frac{1-0.9723Z^{-1}}{0.01163}$ (8.3)

Comparing plant model with equation


$\displaystyle G$ $\displaystyle =Z^{{-1}}\frac{B^g B^- B^{nm+}}{A}$ (8.4)

We get,


$\displaystyle B^g$ $\displaystyle =0.01163$ (8.5)
$\displaystyle B^-$ $\displaystyle =1$ (8.6)
$\displaystyle B^{nm+}$ $\displaystyle =1$ (8.7)
$\displaystyle A$ $\displaystyle =1-0.9723Z^{-1}$ (8.8)

For the stable system, internal model controller is given by


$\displaystyle G_Q$ $\displaystyle =\frac{A}{B^gB^-_s B_r^{nm+}}G_f$ (8.9)
$\displaystyle G_Q$ $\displaystyle =\frac{1-0.9723Z^{-1}}{0.01163}\frac{1-\alpha}{1-\alpha Z^{-1}}$ (8.10)

Now,


$\displaystyle G_c$ $\displaystyle =\frac{G_Q}{1-GG_Q}$ (8.11)
$\displaystyle \frac{u}{e}$ $\displaystyle =\frac{\frac{1-0.9723Z^{-1}}{0.01163}\frac{1-\alpha}{1-\alpha Z^{...
...{1-0.9723Z^{-1}}\frac{1-0.9723Z^{-1}}{0.01163}\frac{1-\alpha}{1-\alpha Z^{-1}}}$ (8.12)

After simplifying, we get


$\displaystyle \frac{u}{e}$ $\displaystyle =\frac{1-\alpha}{0.01163}\frac{1-0.9723Z^{-1}}{1-Z^{-1}}$ (8.13)
$\displaystyle \frac{u}{e}$ $\displaystyle =b\frac{1-0.9723Z^{-1}}{1-Z^{-1}}$ (8.14)

where,


$\displaystyle b$ $\displaystyle =\frac{1-\alpha}{0.01163}$ (8.15)

Hence,


$\displaystyle u(n)$ $\displaystyle =u(n-1)+b[e(n)-0.9723e(n-1)]$ (8.16)

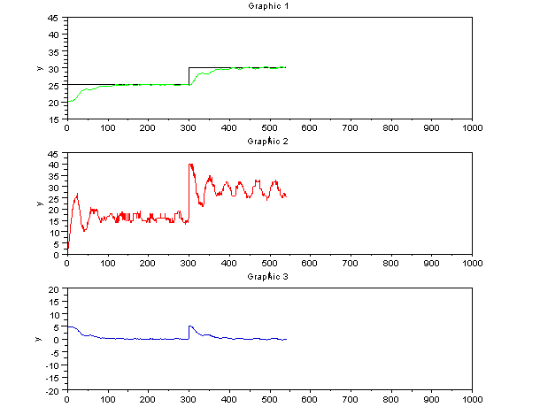
The output of Xcos is shown in figure 8.4. Figure shows three plots. First sub plot shows setpoint and output temperature profile. Second sub plot shows control effort and third sub plot shows error between setpoint and plant output.

Figure 8.4: Experimental results with IMC for $ \alpha =0.92$
Image imc_092_resp
Figure 8.5: Experimental results with IMC for $ \alpha =0.85$
Image imc_085_resp

The same experiment result for $ \alpha =0.85$ is as shown in fig 8.5. By comparing the two graphs, we can say that for $ \alpha =0.92$ the response of the controller is sluggish. For $ \alpha =0.85$, the controller starts responding quickly and no overshoots are seen in the temperature profile.



Subsections
rokade 2017-04-23