2-DOF Controller theory and Calculations

Controllers are broadly divided into two categories: feedback and feed forward controllers. Feed forward controllers are those that take control action before a disturbance affects the plant. But this requires an ability to sense the disturbance accurately. Moreover, exact knowledge of the plant is also needed. As a result, a feed forward control strategy is rarely used alone.

A feedback control strategy is shown in figure 6.1. The reference $ r$ and the output $ y$ are continuously compared to generate error $ e$, which is fed to the controller $ G_c(z)$, to take appropriate control action. $ u$ is the controller output that is fed to the plant. Unlike feed forward controllers, exact knowledge of the plant $ G(z)$ and the disturbance $ v$ is not necessary in this case. Feedback controllers are further classified as One Degree of Freedom (1-DOF) controllers and Two Degrees of Freedom (2-DOF) controllers. Degree of freedom refers to the number of parameters that are free to vary in a system. A higher degree of freedom controller makes the plant less susceptible to disturbances.

Figure 6.1: Feed back control strategy
Image fb

The expression for output, $ Y(z)$ of the system shown in figure 6.1 is given by

$\displaystyle Y(z)$ $\displaystyle =\frac{G(z)G_c(z)}{1+G(z)G_c(z)}R(z)+\frac 1{1+G(z)G_c(z)}V(z)$ (6.1)

This expression can be written in mixed notation [1] as

$\displaystyle y(n)$ $\displaystyle =\frac{G(z)G_c(z)}{1+G(z)G_c(z)}r(n)+\frac 1{1+G(z)G_c(z)}v(n)$ (6.2)

Let,


$\displaystyle T(z)$ $\displaystyle =\frac{G(z)G_c(z)}{1+G(z)G_c(z)} , \,$ (6.3)
$\displaystyle S(z)$ $\displaystyle =\frac 1{1+G(z)G_c(z)}$ (6.4)

Therefore,


$\displaystyle y(n)$ $\displaystyle =T(z)r(n)+S(z)v(n)$ (6.5)

The controller has to track the reference input as well as eliminate the effect of external disturbance. So ideally, we want T = 1 and S = 0. But, it is not possible to achieve both the requirements simultaneously using this control strategy. This control strategy is called One Degree of Freedom, abbreviated as 1-DOF.

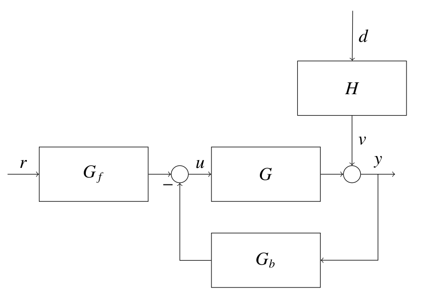
A Two Degrees of Freedom controller is as shown in figure 6.2. Here, $ G_b$ and $ G_f$ together constitute the controller. $ G_b$ is in the feedback path and is used to eliminate the effect of disturbances, whereas $ G_f$ is in the feed forward path and is used to help the output track the reference input.

Figure 6.2: 2DOF feed back control strategy
Image 2doffig

The expression for control effort $ u$ in figure 6.2 is given by

$\displaystyle u(n)$ $\displaystyle = r(n)G_f - y(n)G_b$ (6.6)

Let


$\displaystyle G_b$ $\displaystyle = \frac{S_c}{R_c} , G_f = \frac{T_c}{R_c}$ (6.7)

where $ R_c$, $ S_c$ and $ T_c$ are polynomials in $ z^{-1}$.We get


$\displaystyle R_c(z)u(n)$ $\displaystyle =T_c(z)r(n)-S_c(z)y(n)$ (6.8)

Consider a plant whose model is given by


$\displaystyle A(z)y(n)$ $\displaystyle =z^{-k}B(z)u(n)+v(n)$ (6.9)

Substituting equation 6.8 in equation 6.9, we get


$\displaystyle Ay(n)$ $\displaystyle =z^{-k}\frac{B}{R_c}\bigg[T_cr(n)-S_cy(n)\bigg]+v(n)$ (6.10)

Solving for $ y(n)$,


$\displaystyle \bigg(\frac{R_cA+z^{-k}BS_c}{R_c}\bigg)y(n)$ $\displaystyle =z^{-k}\frac{BT_c}{R_c}r(n)+v(n)$ (6.11)

This can also be written as


$\displaystyle y(n)$ $\displaystyle =z^{-k}\frac{BT_c}{\phi _{cl}}r(n)+\frac{R_c}{\phi _{cl}}v(n)$ (6.12)

where $ \phi_{cl}$ is the closed loop characteristic polynomial given by


$\displaystyle \phi _{cl}$ $\displaystyle =R_c(z)A(z)+z^{-k}B(z)S_c(z)$ (6.13)

We want the following conditions to be satisfied while designing a controller.

  1. The zeros of $ \phi_{cl}$ should be inside the unit circle, so that the closed-loop system becomes stable
  2. The value of $ z^{-k}\dfrac{BT_c}{\phi _{cl}}$ must be close to unity, so that reference tracking is achieved
  3. The value of $ \dfrac{R_c}{\phi _{cl}}$ must be as small as possible to achieve disturbance rejection
We shall now see the pole placement controller approach to design a 2-DOF controller.



Subsections
rokade 2017-04-23